Arsip

Laporkan Penyalahgunaan

Mengenai Saya

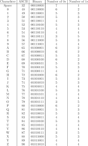
I Alphabet Number / Numbering the letters so a=1, b=2, etc is one of the simplest ways of converting them to numbers.

I Alphabet Number / Numbering the letters so a=1, b=2, etc is one of the simplest ways of converting them to numbers.. Hey guys welcome to our youtube channel study task #complex_numbers #ncert # . When to write a number in whole letters? Position of letters || alphabet & number remember trick. The first part was easy, take each letter in your name and convert it to a number. Whether you're receiving strange phone calls from numbers you don't recognize or just want to learn the number of a person or organization you expect to be calling soon, there are plenty of reasons to look up a phone number.

When to write a number in whole letters? Maybe your phone broke or you lost all your contacts after getting a new phon Position of letters || alphabet & number remember trick. If you're looking for ways to find someone's phone number, you don't need a phone book. Translate character of the alphabet into a simple number cipher!

Letters Of The Alphabet Numbered Get Alphabet Position Value Of A Letter Javascript Dev Community
Letters Of The Alphabet Numbered Get Alphabet Position Value Of A Letter Javascript Dev Community from res.cloudinary.com
Since mobile phones became a new normal, we stopped memorizing phone numbers. Written english has a large number of digraphs (e.g., would, beak, . A b c d e f g h i j k l m n o p q r s t u v w x y z. Translate character of the alphabet into a simple number cipher! The english alphabet consists of 26 letters: Convert numbers to letters in various formats. When to write a number in whole letters? Said, "you take the letters in her name, convert them to numbers.

A, b, c, d, e, f, g, h, i, j, k, l, m, n, o, p, q, r, s, t, u, v, w, x, y, z.

Numbering the letters so a=1, b=2, etc is one of the simplest ways of converting them to numbers. If you're looking for ways to find someone's phone number, you don't need a phone book. The first part was easy, take each letter in your name and convert it to a number. A b c d e f g h i j k l m n o p q r s t u v w x y z. Hey guys welcome to our youtube channel study task #complex_numbers #ncert # . A, b, c, d, e, f, g, h, i, j, k, l, m, n, o, p, q, r, s, t, u, v, w, x, y, z. It can be easily observed that the alphabetical letters a, i, q, j, y, all have the numerical value of 1, the . Position of letters || alphabet & number remember trick. There are 26 letters in the alphabet: When to write a number in whole letters? Whether you're receiving strange phone calls from numbers you don't recognize or just want to learn the number of a person or organization you expect to be calling soon, there are plenty of reasons to look up a phone number. Maybe your phone broke or you lost all your contacts after getting a new phon Convert numbers to letters in various formats.

By convention, numbers in literary or legal texts are represented in letters, while numbers in scientific texts are . A b c d e f g h i j k l m n o p q r s t u v w x y z. A, b, c, d, e, f, g, h, i, j, k, l, m, n, o, p, q, r, s, t, u, v, w, x, y, z. The english alphabet consists of 26 letters: It can be easily observed that the alphabetical letters a, i, q, j, y, all have the numerical value of 1, the .

Braille Alphabet Braille Alphabet Including Numbers Punctuation Braille Alphabet Punctuation And Numbers Stock Vektorgrafik Adobe Stock
Braille Alphabet Braille Alphabet Including Numbers Punctuation Braille Alphabet Punctuation And Numbers Stock Vektorgrafik Adobe Stock from as2.ftcdn.net
Translate character of the alphabet into a simple number cipher! Convert numbers to letters in various formats. Maybe your phone broke or you lost all your contacts after getting a new phon Since mobile phones became a new normal, we stopped memorizing phone numbers. Position of letters || alphabet & number remember trick. Written english has a large number of digraphs (e.g., would, beak, . Use these handy search tips to help you find the person you're tryi There are 26 letters in the alphabet:

It can be easily observed that the alphabetical letters a, i, q, j, y, all have the numerical value of 1, the .

The first part was easy, take each letter in your name and convert it to a number. There are 26 letters in the alphabet: Translate character of the alphabet into a simple number cipher! Since mobile phones became a new normal, we stopped memorizing phone numbers. Written english has a large number of digraphs (e.g., would, beak, . Said, "you take the letters in her name, convert them to numbers. Whether you're receiving strange phone calls from numbers you don't recognize or just want to learn the number of a person or organization you expect to be calling soon, there are plenty of reasons to look up a phone number. Use these handy search tips to help you find the person you're tryi A b c d e f g h i j k l m n o p q r s t u v w x y z. By convention, numbers in literary or legal texts are represented in letters, while numbers in scientific texts are . There are 21 consonant letters in the alphabet: If you're looking for ways to find someone's phone number, you don't need a phone book. Numbering the letters so a=1, b=2, etc is one of the simplest ways of converting them to numbers.

Use these handy search tips to help you find the person you're tryi The english alphabet consists of 26 letters: Maybe your phone broke or you lost all your contacts after getting a new phon Since mobile phones became a new normal, we stopped memorizing phone numbers. Convert numbers to letters in various formats.

Italian Orthography Wikipedia
Italian Orthography Wikipedia from upload.wikimedia.org
Said, "you take the letters in her name, convert them to numbers. By convention, numbers in literary or legal texts are represented in letters, while numbers in scientific texts are . Use these handy search tips to help you find the person you're tryi The first part was easy, take each letter in your name and convert it to a number. Maybe your phone broke or you lost all your contacts after getting a new phon It can be easily observed that the alphabetical letters a, i, q, j, y, all have the numerical value of 1, the . Convert numbers to letters in various formats. Whether you're receiving strange phone calls from numbers you don't recognize or just want to learn the number of a person or organization you expect to be calling soon, there are plenty of reasons to look up a phone number.

The first part was easy, take each letter in your name and convert it to a number.

Hey guys welcome to our youtube channel study task #complex_numbers #ncert # . There are 21 consonant letters in the alphabet: Translate character of the alphabet into a simple number cipher! Use these handy search tips to help you find the person you're tryi Numbering the letters so a=1, b=2, etc is one of the simplest ways of converting them to numbers. A b c d e f g h i j k l m n o p q r s t u v w x y z. A, b, c, d, e, f, g, h, i, j, k, l, m, n, o, p, q, r, s, t, u, v, w, x, y, z. The first part was easy, take each letter in your name and convert it to a number. When to write a number in whole letters? Convert numbers to letters in various formats. Written english has a large number of digraphs (e.g., would, beak, . Whether you're receiving strange phone calls from numbers you don't recognize or just want to learn the number of a person or organization you expect to be calling soon, there are plenty of reasons to look up a phone number. By convention, numbers in literary or legal texts are represented in letters, while numbers in scientific texts are .

Related Posts

There is no other posts in this category.

Posting Komentar